【学习6】深度学习&高斯分布
李宏毅机器学习
Gaussian Distribution(宝可梦属性分类----二元分类)
先介绍一下高斯函数,这里u 表示均值,Σ 表示方差,两者都是矩阵matrix,那高斯函数的概率密度函数则是:

同样的Σ,不同的u,概率分布最高点的地方是不一样的。如果是同样的u,不同的Σ,概率分布最高点的地方是一样的,但是分布的密集程度是不一样的。那接下来的问题就是怎么去找出这个Gaussian,只需要去估测出这个Gaussian的均值u和协方差Σ即可。

估测u和Σ的方法就是极大似然估计法(Maximum Likelihood),极大似然估计的思想是,找出最特殊的那对u和Σ,从它们共同决定的高斯函数中再次采样出79个点,使”得到的分布情况与当前已知79点的分布情况相同“这件事情发生的可能性最大。实际上任意一组u和Σ对应的高斯函数(u 表示该Gaussian的中心点,Σ表示该Gaussian的分散程度)都有可能sample出跟当前分布一致的样本点,就像上图中的两个红色圆圈所代表的高斯函数,但肯定存在着发生概率最大的哪一个Gaussian,而这个函数就是我们要找的。极大似然函数
实际上就是该事件发生的概率就等于每个点都发生的概率之积,我们只需要把每一个点的data代进去,就可以得到一个关于u和Σ的函数,分别求偏导,解出微分是0的点,即使L最大的那组参数,便是最终的估测值,通过微分得到的高斯函数的u和Σ的最优解如下:

平均值u*可以让这个L最大。

对于已知的平均值u*,就可以算出来Σ*
也就是说:可以当做公式来记忆(u∗刚好是数学期望,Σ*刚好是协方差)
![]()
![]()
得出这些之后,我们就可以进行分类classification了。

横轴是Defense,纵轴是SP Defense,蓝色的点是水系的宝可梦的分布,红色的点是一般系的宝可梦的分布,对图中的每一个点都计算出它是class 1的概率P ( C 1 ∣ x ) 。这个概率用颜色来表示,如果某点在红色区域,表示它是水系宝可梦的概率更大;如果该点在其他颜色的区域,表示它是水系宝可梦的概率比较小。
因为我们做的是分类问题,因此令几率>0.5的点为类别1,几率<0.5的点为类别2,也就是右上角的图中的红色和蓝色两块区域。再把testing data上得到的结果可视化出来,即右下角的图,发现分的不是太好,正确率才是47%。我们之前用的只是Defense和SP Defense这两个参数,在二维空间上得到的效果不太好,但实际上一开始就提到了宝可梦总共是有6个features的,也许在二维空间上它们是重叠在一起的,但是在六维空间上看它们也许会分得很好,每一个宝可梦都是六维空间中的一个点,于是我们的u uu是一个6-dim的vector,Σ则是一个6*6的matrix,发现得到的准确率也才54%,这个分类器表现得很糟糕,是否有办法将它改进的更好?

Modifying Model修改模型
其实之前使用的model是不常见的,你是不会经常看到给每一个Gaussian都有自己的mean(u)和covariance(Σ),比如我们的class 1用的是u1和Σ1 ,class 2用的是u2 和Σ2。比较常见的做法是,不同的class可以共享同一个covariance matrix。其实covariance是跟输入的feature size的平方成正比的。所以当feature的数量很大的时候,Σ大小的增长是可以非常快的。在这种情况下,给不同的Gaussian以不同的covariance matrix,会造成model的参数太多。而参数多会导致该model的covariance过大,出现overfitting的现象。因此对不同的class使用同一个covariance matrix,可以有效减少参数。
此时就把u 1、u 2和共同的Σ一起去合成一个极大似然函数,此时可以发现,得到的u 1 和u 2 和原来一样,还是各自的均值,而Σ则是原先两个Σ 1 和Σ 2的加权。


class 1和class 2在没有共用covariance matrix之前,它们的分界线是一条曲线;如果共用covariance matrix的话,它们之间的分界线就会变成一条直线。这样的model,我们也称之为linear model(尽管Gaussian不是linear的,但是它分两个类别的界限boundary是linear)。
如果我们考虑所有的feature,并共用covariance的话,原来的54%的正确率就会变成73%。显然是有分对东西的,但是为什么会做到这样子,我们是很难分析的。因为这是在高维空间中发生的事情,我们很难知道boundary到底是怎么切的。但这就是machine learning它fancy的地方,人没有办法知道怎么做,但是machine可以帮我们做出来。

总结:分类的三个步骤
1、Find a function set(model)选择一个模型
这些required probability P ( C )和probability distribution P ( x ∣ C ) 就是model的参数。选择不同的Probability distribution(比如不同的分布函数,或者是不同参数的Gaussian distribution),就会得到不同的function。把这些不同参数的Gaussian distribution集合起来,就是一个模型。如果不适用高斯函数而选择其他分布函数,就是一个新的模型了。当这个posterior Probability P ( C ∣ x ) > 0.5的话,就输出为class 1,反之就输出为class 2。
(P ( C 1 ∣ x ) + P ( C 2 ∣ x ) = 1 因此没必要对class 2再去计算一遍)
2、Goodness of function定于一个方程的好坏
对于Gaussian distribution这个模型来说,我们要评价的是决定这个高斯函数形状的均值u 和协方差Σ这两个参数的好坏。而极大似然函数L ( u , Σ )的输出值,就评价了这组参数的好坏。
3、Find the best function找到最好的参数
找到的那个最好的方程,就是使L ( u , Σ )值最大的那组参数,实际上就是所有样本点的均值和协方差。这里上标i表示第i个点,这里x是一个特征的向量,用下标来表示这个向量中的某个特征。

我们可以考虑这样一件事情,假设x = [ x 1 x 2 x 3 . . . x k . . . ] 中每一个维度 x k
的分布都是相互独立的,它们之间的协方差covariance都是0。那我们就可以把x产生的几率拆解成x 1 , x 2 , . . . , x k产生的几率之积。这里每一个维度的分布函数都是一维的高斯分布Gaussian distribution。


如果这样假设的话,等于是说,原来那多维度的Gaussian,它的covariance matrix变成是diagonal(对角的)。在不是对角线的地方,值都是0。这样就可以更加减少需要的参数量,就可以得到一个更简单的model。我们把上述这种方法叫做 Naive Bayes Classifier(朴素贝叶斯分类法)。如果真的明确了所有的特征之间是相互独立的,是不相关的,使用朴素贝叶斯分类法是会很好的。如果这个假设是不成立的,那么Naive bayes classfier的误差就会很大,它就不是一个好的分类器classifier(朴素贝叶斯分类法本质就是减少参数)。
当然这个例子里如果使用这样的模型,得到的结果也不理想。因为各种特征之间的协方差还是必要的。比如战斗力和防御力它们之间是正相关的,协方差不能等于0。总之,寻找模型总的原则是,尽量减少不必要的参数,但是必然的参数绝对不能少。
那怎么去选择分布函数呢?有很多时候凭直觉就可以看出来,比如宝可梦有某个特征是二维的,它代表的是:是或不是。这个时候就不太可能是高斯分布了,而很有可能是伯努利分布(两点分布)。
Posterior Probability后验概率




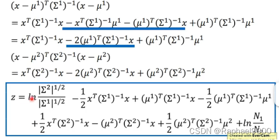
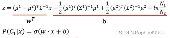
当Σ 1和Σ 2 共用一个Σ时,经过化简相消z就变成了一个线性方程。x的系数是一个向量 w,后面的一大串数字其实就是一个常数项b。

那在Generative model里面,我们做的事情是:我们用某些方法去找出N 1 , N 2 , u 1 , u 2 , Σ 。找出这些以后就算出w和b,把它们代进P ( C 1 ∣ x ) = σ ( w· x + b ) 这个式子,就可以算出概率。但是,当你看到这个式子的时候,你可能会有一个直觉的想法,为什么要这么麻烦呢?我们的最终目标都是要找一个向量 w和常数b吗?
通过样本点的均值u和协方差Σ来计算
进而利用
计算得到新的样本点x属于class 1的概率,由于是二元分类,属于class 2的概率P ( C 2∣x ) = 1 − P ( C 1 ∣ x ) 。之后我们还推导了
。并且在高斯分布下考虑class 1和class 2共用Σ,可以得到一个线性的z。
这里的w和x都是向量,两者的乘积是inner product。从上式中我们可以看出,现在这个模型(function set)是受w和b控制的,因此我们不必要再去像前面一样计算一大堆东西,而是用这个全新的由w和b决定的模型——Logistic Regression(逻辑回归)。
机器学习的三步
1、function set
这里的function set就是Logistic Regression——逻辑回归
w i :weight,b:bias,σ ( z ):sigmoid function,x i:input


2、Goodness of a function
现在我们有N笔训练数据,每一笔数据都要标注它是属于哪一个class。假设这些训练数据是从我们定义的posterior Probability
中产生的(后置概率,某种意义上就是概率密度函数)。而w和b就决定了这个posterior Probability,那我们就可以去计算某一组w和b,进而去产生这N笔T训练数据的概率。利用极大似然估计的思想,最好的那组参数就是,有最大可能性产生当前N笔训练数据分布的w ∗和b ∗似然函数,只需要将每一个点产生的概率相乘即可。注意,这里假定是二元分类,class 2的概率为1减去class 1的概率。

由于class 1和class 2的概率表达式不统一,上面的式子无法写成统一的形式,为了统一格式,这里将Logistic Regression里的所有Training data都打上0和1的标签,即output y ^ = 1 代表class 1,output y ^ = 0代表class 2,于是上式进一步改写成:
![]()



Bernouli distribution(两点分布)的cross entropy(交叉熵)
假设有如上图所示的两个distribution p和q,它们的交叉熵就是
cross entropy交叉熵的含义是表达这两个distribution有多接近,如果p和q这两个distribution一模一样的话,那它们算出来的cross entropy就是0。这里f ( x^n )表示function的output,y ^ n 表示预期 的target,因此交叉熵实际上表达的是希望这个function的output和它的target越接近越好。

3、Find the best function
实际上就是去找到使loss function即交叉熵之和最小的那组参数w ∗ , b ∗就行了,这里用gradient descent的方法进行运算就好。这里sigmoid function的微分可以直接作为公式记下来:![]()
,sigmoid和它的微分的图像如下:
先计算
对w i 的偏微分,![]()
是常数先不用管它,只需要分别求出
对w i 的偏微分即可,整体推导过程如下:




那这个式子到底代表着什么意思呢?现在你的update取决于三件事:
learning rate,是你自己设定的
x i ,来自于data![]()
,代表function的output跟理想target的差距有多大,如果离目标越远,update的步伐就要越大。
为什么Logistic Regression的loss function不能用square error来描述呢?我们现在来试一下这件事情,重新做一下machine learning的三个step。

假设中心点就是距离目标很近的地方,如果是cross entropy的话,距离目标越远,微分值就越大,参数update的时候变化量就越大,迈出去的步伐也就越大。但当你选择square error的时候,过程就会很卡,因为距离目标远的时候,微分也是非常小的,移动的速度是非常慢的,我们之前提到过,实际操作的时候,当gradient接近于0的时候,其实就很有可能会停下来,因此使用square error很有可能在一开始的时候就卡住不动了,而且这里也不能随意地增大learning rate,因为在做gradient descent的时候,你的gradient接近于0,有可能离target很近也有可能很远,因此不知道learning rate应该设大还是设小。综上,尽管square error可以使用,但是会出现update十分缓慢的现象,而使用cross entropy可以让你的Training更顺利。
Logistic Regression的方法,我们把它称之为discriminative的方法;而我们用Gaussian来描述posterior Probability这件事,我们称之为Generative的方法。用这两种方法得到的b和w是不同的,尽管我们的function set是同一个,但是由于做了不同的假设,最终从同样的Training data里找出来的参数会是不一样的。

如果我们的测试数据的两个特征都是1,凭直觉来说会认为它肯定是class 1,但是如果用naive bayes的方法(朴素贝叶斯)假设所有的特征相互独立,方便计算),得到的结果又是怎样的呢?通过Naive bayes得到的结果竟然是这个测试点属于class 2的可能性更大,这跟我们的直觉比起来是相反的。实际上我们直觉认为两个feature都是1的测试点属于class 1的可能性更大,是因为我们潜意识里认为这两个feature之间是存在某种联系的。但是对Naive bayes来说,它是不考虑不同维度之间的关系。Naive bayes认为在维度相互独立的前提下,class 2没有sample出都是1的data,是因为sample的数量不够多,如果sample够多,它认为class 2观察到都是1的data的可能性会比class 1要大。
Generative model和discriminative model的差别就在于,Generative的model它有做了某些假设,假设你的data来自于某个概率模型;而Discriminative的model是完全不作任何假设的。
Generative model做的事情就是脑补,它会自己去想象一些事情,于是会做出一个和我们人类直觉想法不太一样的判断结果,就像toy example里,我们做了naive bayes这样一个假设(事实上我们并不知道这两个feature是否相互独立),于是Naive bayes会在class 2里并没有出现过两个feature都是1的样本点的前提下,自己去脑补有这样的点。
通常脑补不是一件好的事情,因为你给你的data强加了一些它并没有告诉你的属性,但是在data很少的情况下,脑补也是有用的,discriminative model并不是在所有的情况下都可以赢过Generative model,discriminative model是十分依赖于data的,当data数量不足或是data本身的label就有一些问题,那Generative model做一些脑补和假设,反而可以把data的不足或是有问题部分的影响给降到最低。
在Generative model中,priors probabilities和class-dependent probabilities是可以拆开来考虑的。以语音辨识为例,现在用的都是neural network,是一个discriminative的方法。但事实上整个语音辨识的系统是一个Generative的system,它的prior probability是某一句话被说出来的几率。而想要estimate某一句话被说出来的几率并不需要有声音的data,可以去互联网上爬取大量文字,就可以计算出某一段文字出现的几率。并不需要声音的data,这个就是language model,而class-dependent的部分才需要声音和文字的配合,这样的处理可以把prior预测地更精确。
总结:
对于分类的问题(主要是二元分类),我们一般有两种方法去处理问题,一种是Generative的方法,另一种是Discriminative的方法,注意到分类问题的model都是从贝叶斯方程出发的,即.

其中分子表示属于第i类的可能性,分母表示遍历从1到n所有的类的可能性,两种方法的区别在于:
Generative model会假设一个带参数的Probability distribution,利用这个假设的概率分布函数带入(1)中去计算![]()
,结合极大似然估计法最终得到最优的参数以确定这个model的具体形式.
DIscriminative model不作任何假设,因此它无法通过假定的Probability distribution得到P ( x ∣ C i )的表达式,因此它使用的是(2),直接去利用交叉熵和gradient descent结合极大似然估计法得到最优的b和w,以确定model的具体形式.
最后,利用得到的P ( C i ∣ x )与0.5相比较来判断它属于那个class的可能性更大.
Generative model的好处是,它对data的依赖并没有像discriminative model那么严重,在data数量少或者data本身就存在noise的情况下受到的影响会更小,而它还可以做到Prior部分与class-dependent部分分开处理,如果可以借助其他方式提高Prior model的准确率,对整一个model是有所帮助的(比如前面提到的语音辨识)
而Discriminative model的好处是,在data充足的情况下,它训练出来的model的准确率一般是比Generative model要来的高的
Multi-class Classification多元分类
softmax
假设有三个class:C 1 , C 2 , C 3 ,每一个class都有自己的weight和bias,这里w 1 , w 2 , w 3 分布代表三个vector,b 1 , b 2 , b 3 分别代表三个const,input x也是一个vector。
softmax的意思是对最大值做强化,因为在做第一步的时候,对z取exponential会使大的值和小的值之间的差距被拉得更开,也就是强化大的值。


原来的output z可以是任何值,但是做完softmax之后,你的输出yi 的值一定是介于0~1之间,并且它们的和一定是1。
multi-class classification的过程:
如下图所示,input x经过三个式子分别生成z 1 , z 2 , z 3,经过softmax转化成output y 1 , y 2 , y 3 ,它们分别是这三个class的posterior probability后验概率。由于总和(y1+y2+y3)summation=1,因此做完softmax之后就可以把y的分布当做是一个probability contribution。我们在训练的时候还需要有一个target,因为是三个class,output是三维的,对应的target也是三维的,为了满足交叉熵的条件,target y 也必须是probability distribution,这里我们不能使用1,2,3作为class的区分,为了保证所有class之间的关系是一样的,这里使用类似于one-hot编码的方式。

Limitation of Logistic Regression逻辑回归的限制

因为Logistic Regression在两个class之间的boundary就是一条直线,但是在这个平面上无论怎么画直线都不可能把图中的两个class分隔开来。
Feature Transformation特征转换
如果坚持要用Logistic Regression的话,有一招叫做Feature Transformation,原来的feature分布不好划分,那我们可以将之转化以后,找一个比较好的feature space,让Logistic Regression能够处理假设这里定义x 1 ′。x_1'是原来的点到[ 0 0 ]之间的距离,x_2'是原来的点到[ 1 1 ]之间的距离,重新映射之后如下图右侧(红色两个点重合),此时Logistic Regression就可以把它们划分开来

但麻烦的是,我们并不知道怎么做feature Transformation,如果在这上面花费太多的时间就得不偿失了,于是我们会希望这个Transformation是机器自己产生的,怎么让机器自己产生呢?我们可以让很多Logistic Regression cascade(连接)起来。
我们让一个input x的两个feature x 1 , x 2 经过两个Logistic Regression的transform,得到新的feature x 1 ′ , x 2 ′,在这个新的feature space上,class 1和class 2是可以用一条直线分开的,那么最后只要再接另外一个Logistic Regression的model(对它来说,x 1 ′ , x 2 ′才是每一个样本点的"feature",而不是原先的x 1 , x 2 ,它根据新的feature,就可以把class 1和class 2分开。


这里的Logistic Regression只是一条直线,它指的是“属于这个类”或“不属于这个类”这两种情况,因此最后的这个Logistic Regression是跟要检测的目标类相关的,当只是二元分类的时候,最后只需要一个Logistic Regression即可,当面对多元分类问题,需要用到多个Logistic Regression来画出多条直线划分所有的类,每一个Logistic Regression对应它要检测的那个类。
Powerful Cascading Logistic Regression
通过上面的例子,我们发现,多个Logistic Regression连接起来会产生powerful的效果,我们把每一个Logistic Regression叫做一个neuron(神经元),把这些Logistic Regression串起来所形成的network,就叫做Neural Network,就是类神经网路,这个东西就是Deep Learning!
更多推荐
所有评论(0)