深度学习 GNN图神经网络(一)图的基本知识
本文主要介绍图的一些基础知识,不会太深奥,够用就行。我们以民国最出名的七角恋人物关系图为例进行讲解。
一、前言
本文主要介绍图的一些基础知识,不会太深奥,够用就行。我们以民国最出名的七角恋人物关系图为例进行讲解。
二、图的概念
图(Graph)可以用来描述实体之间的关系。
如下图所示,一张图捋清民国最出名的七角恋(摘自全历史):
这是一张图,包括人物实体以及人物关系。我们抽象成下面的形式,人物是图的顶点(Vertex)、人物关系是图的边(Edge)。顶点(节点)和边都可以附带各自的属性(如:姓名、关系类型等)。
二、图的表示
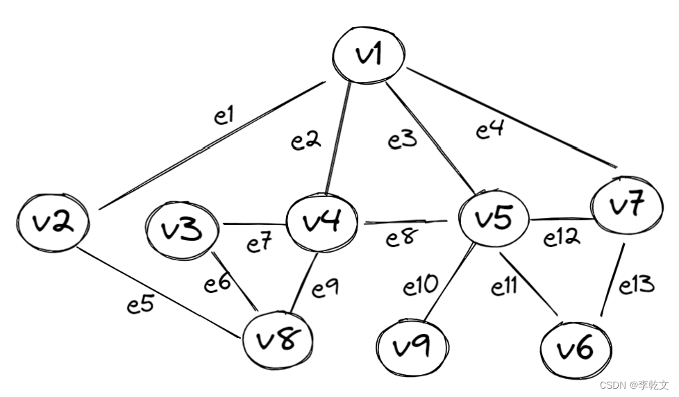
上面的带箭头符号的边是有方向的,是有向图。我们进一步抽象,把属性和边方向去掉,变成一张简单的无向图:
如上图所示,图 G \mathcal{G} G包含9个顶点、13条边。我们可以表示为:
G = { V , E } \mathcal{G=\{V,E\}} G={V,E},其中: V = { v 1 , v 2 , … , v 9 } \mathcal{V=\{v_1,v_2,\dots,v_9\}} V={v1,v2,…,v9}, E = { e 1 , e 2 , … , e 13 } \mathcal{E=\{e_1,e_2,\dots,e_{13}\}} E={e1,e2,…,e13}
但是,我们需要用计算机来进行图计算,那么在计算机里怎么表示一张图呢?
如下图,我们用一张二维图表表示图 G \mathcal{G} G, 1 1 1 表示两个顶点之间存在关系。
如果我们空白处用 0 0 0 填充,那么就形成了一个矩阵 A A A,这个矩阵叫做邻接矩阵,等价于图 G \mathcal{G} G,可以简单地用二维数组存储,如下:
A = ( 0 1 0 1 1 0 1 0 0 1 0 0 0 0 0 0 1 0 0 0 0 1 0 0 0 1 0 1 0 1 0 1 0 0 1 0 1 0 0 1 0 1 1 0 1 0 0 0 0 1 0 1 0 0 1 0 0 0 1 1 0 0 0 0 1 1 1 0 0 0 0 0 0 0 0 0 1 0 0 0 0 ) A=\begin{pmatrix} 0&1&0&1&1&0&1&0&0 \\ 1&0&0&0&0&0&0&1&0 \\ 0&0&0&1&0&0&0&1&0 \\ 1&0&1&0&1&0&0&1&0 \\ 1&0&0&1&0&1&1&0&1 \\ 0&0&0&0&1&0&1&0&0 \\ 1&0&0&0&1&1&0&0&0 \\ 0&1&1&1&0&0&0&0&0 \\ 0&0&0&0&1&0&0&0&0 \\ \end{pmatrix} A=
010110100100000010000100010101010010100101101000010100100011000011100000000010000
三、图的性质
为了方便对比参考,把上面的图贴到这里:
3.1 度
一个节点的度就是与之相连的边的条数。例如顶点 v 1 v_1 v1有 e 1 、 e 2 、 e 3 e_1、e_2、e_3 e1、e2、e3 三条边,则度为3;同理 v 2 v_2 v2的度为2、 v 3 v_3 v3的度也为2。
在有向图中,根据边的方向还分为出度和入度。
3.2 连通性
如果通过一个节点的边,可以到达图的任意节点,那么这个图是连通图,反正为非连通图。
3.3 子图
指图的一部分。
3.3 中心性
度中心性
节点 v v v的度中心性= 顶点 v 的度 n − 1 \frac{顶点v的度}{n-1} n−1顶点v的度, n n n为图的节点数量。
例如 v 1 v_1 v1的度中心性为 3 9 − 1 = 0.375 \frac{3}{9-1}=0.375 9−13=0.375, v 2 v_2 v2的度中心性为 2 9 − 1 = 0.25 \frac{2}{9-1}=0.25 9−12=0.25
更多推荐
所有评论(0)