数据解读|使用深度学习算法测量缺血性视神经病变和视神经炎的视网膜神经纤维层厚度...
痛点商业 OCT 机器使用自动视网膜层分割算法来检测相邻视网膜层之间的信号强度差异,以计算 RNFL 厚度。然而,扫描可能会受到运动、介质不透明度、算法故障或信噪比差的影响;深度学习 (DL) 是一种使用多层神经网络的人工智能,其算法在疾病检测方面优于眼科医生。此外,DL 算法已经过训练,可以检测青光眼 OCT 扫描的自动 RNFL 分割中的错误,识别分割伪影的可能性,并使用准确度为 92.4%。

痛点
商业 OCT 机器使用自动视网膜层分割算法来检测相邻视网膜层之间的信号强度差异,以计算 RNFL 厚度。然而,扫描可能会受到运动、介质不透明度、算法故障或信噪比差的影响;深度学习 (DL) 是一种使用多层神经网络的人工智能,其算法在疾病检测方面优于眼科医生。此外,DL 算法已经过训练,可以检测青光眼 OCT 扫描的自动 RNFL 分割中的错误,识别分割伪影的可能性,并使用准确度为 92.4%。
应用场景
深度学习算法在医疗机械上的智能应用。
快速预览
这项工作旨在确定深度学习 (DL) 算法从前部缺血性视神经病变 (NAION) 和脱髓鞘性视神经炎 (ON) 的光学相干断层扫描 (OCT) 扫描测量视网膜神经纤维层 (RNFL) 厚度的能力。训练/验证数据集包括 750 个 RNFL OCT B 扫描。我们的算法的性能是根据来自 70 只健康眼睛的 194 次 OCT B 扫描、来自 28 只 NAION 眼睛的 82 次扫描和来自 29 只 ON 眼睛的 84 次扫描进行评估的。将结果与手动分割作为基本事实进行比较,并与内置仪器软件的 RNFL 计算进行比较。测试图像的 Dice 系数为 0.87。使用我们的 U-Net 的平均 RNFL 厚度与控制眼和 ON 眼中手动分割的最佳估计和 OCT 机器数据没有区别。在NAION眼里,虽然使用我们的 U-Net 算法的平均 RNFL 厚度与手动分割值没有差异,但 OCT 机器数据与手动分割值不同。在 NAION 眼中,平均 RNFL 厚度的 MAE 在 U-Net 算法分割和常规 OCT 机器数据中分别为 1.18 ± 0.69 μm 和 6.65 ± 5.37 μm (P = 0.0001)。
背景介绍
光学相干断层扫描 (OCT) 已应用于测量非动脉性前部缺血性视神经病变 (NAION) 和脱髓鞘性视神经炎 (ON) 等多种视神经病变中微米级的视盘周围视网膜神经纤维层 (RNFL) 厚度。在 NAION 和乳头炎的早期阶段,RNFL 的 OCT 可能显示增厚,在亚急性期减少。准确测量厚度很重要,因为 RNFL 厚度可能有助于检测疾病进展或改善。然而,扫描可能会受到运动、介质不透明度、算法故障或信噪比差的影响,在一些研究中,据报道青光眼 OCT B 扫描的伪影率为 46.3% 和 61.7%。这样的错误可能导致不同层和结构的厚度的错误测量。值得注意的是,基线错误会持续到后续扫描中,并且错误会纵向传播。因此,建议在操作员评估 RNFL 厚度时手动细化 OCT 视网膜层分割,但此过程费力且非常耗时。虽然之前的研究尚未确定其他视神经病变(如 NAION 和 ON)中的分割问题和伪影,但据一份病例报告报道,分割错误如果未被识别,可能导致神经眼科疾病的临床误诊。
深度学习 (DL) 是一种使用多层神经网络的人工智能,其算法在疾病检测方面优于眼科医生。
此外,DL 算法已经过训练,可以检测青光眼 OCT 扫描的自动 RNFL 分割中的错误,识别分割伪影的可能性,并使用准确度为 92.4%的热图突出显示这些错误的位置,然而,缺乏关于在NAION和ON眼中使用DL进行RNFL分割的研究。
由于准确的 RNFL 厚度数据对于诊断和随访缺血性视神经病变和视神经炎是必要的,我们检查了患有 NAION 和 ON 的个体的 OCT 机器分割错误,并假设具有视网膜层精确分割的 DL 方法可以估计RNFL 的厚度与手动分割相当。此外,我们假设这种方法会优于传统的 OCT 机器 RNFL 数据分割算法。
研究结果
训练/验证数据集包括来自 250 只眼睛的 750 次 RNFL OCT B 扫描(60 只眼睛使用 NAION,50 只眼睛使用 ON,140 只对照眼睛)。这些研究眼睛分为训练(80% 的样本)和验证(20%)数据集。
我们的算法的性能在测试集中 132 只眼睛的 370 次扫描中进行了评估。训练集和测试集之间没有重叠。
由于中心和质量问题排除了 10 次扫描后,最终测试集包括来自 70 只健康眼睛的 194 次 OCT B 扫描、来自 28 只 NAION 眼睛的 82 次扫描以及来自 29 只 ON 眼睛的 84 次扫描。来自健康眼睛的 5 次扫描 (7.1%)、来自 ON 眼睛的 3 次扫描 (3.5%) 和来自 NAION 眼睛的 53 次扫描 (64%) 具有手动校正的分割错误(卡方;P < 0.001)。此外,来自 NAION 眼睛的 8 次扫描 (9.7%) 和来自 ON 和健康眼睛的 1 次扫描都有视网膜前膜 (P < 0.001)。在 20.7% (17) NAION 扫描和 10% (7) 健康扫描和 9.5% (8) ON 扫描中发现部分玻璃体后脱离 (P < 0.001)。与对照 (100.2 ± 10.8 μm) 眼相比,NAION (69.7 ± 19.3 μm) 和 ON (76.0 ± 16.2 μm) 眼中手动校正的平均 RNFL 厚度(真实值)的平均值显着降低(P < 0.001,克鲁斯卡尔-沃利斯)。ON 和 NAION 眼之间的平均 RNFL 厚度没有差异 (P = 0.96)。NAION 扫描的 OCT 质量得分低于 ON 扫描(23.7 ± 4.5 对 25.7 ± 4,P = 0.03,Kruskal-Wallis)和对照扫描(26.8 ± 4,P < 0.001)。在所有数据集中,NAION 组 OCT 扫描的平均年龄为 62.8 ± 9.4 岁,ON 组为 30.8 ± 10.1 岁,对照组为 42.3 ± 18.4 岁。
我们进行了一个两步过程来获得我们的结果:第一步是我们的 U-net 评估,第二步是在三个不同的组(控制、ON、NAION)中使用 U-net 算法考虑 RNFL 厚度测量对于测试图像。
我们的 U-net 模型在测试和验证图像中产生了高性能。我们提出的模型对验证数据集的敏感性和特异性分别为 0.91 和 0.90。测试集上的相同测量值分别为 0.88 和 0.86。我们提出的分割和专家对验证数据集的手动分割之间的 Dice 系数为 0.90,测试图像为 0.87。
我们还通过三种不同的方法(我们的 U-Net 算法、传统的 OCT 机器数据)比较了七个部分(平均、鼻腔、颞区、颞上区、鼻上区、颞下区、鼻下区)的 RNFL 厚度测量值的估计值,以及由眼科医生确定的手动分段最佳估计)在三个不同的组中(表1)

表 1 在对照、非动脉性前部缺血性视神经病变 (NAION) 和脱髓鞘性视神经炎 (ON) 中通过三种不同方法对七个区域中 RNFL 厚度测量值 (µm) 的估计值进行比较。
01
正常对照组RNFL厚度
三种测量方法的平均 RNFL 厚度没有显着差异(P = 0.69,方差分析)。使用我们的 U-Net 算法分割的平均 RNFL 厚度与手动分割的最佳估计(地面实况)没有区别(101.1 ± 10.8 µm,对比 100.2 ± 10.8 µm;P > 0.99)。同样,OCT 机器平均 RNFL 厚度 (100.2 ± 11.2) 与手动分割值 (P > 0.99) 之间没有显着差异。U-Net 算法分割的 RNFL 厚度和传统 OCT 机器数据均与手动分割获得的RNFL厚度密切相关(r 2 = 0.99 和 0.98),两种相关性之间没有显着差异(P = 0.33)(图1)).在U-Net算法分割和传统 OCT 机器数据中,平均 RNFL 厚度的平均绝对误差(MAE)分别为1.04± 0.74 μm 和 0.18 ± 1.23 μm。两个 MAE 数字之间没有显着差异 (P = 0.93)。

图1:折线图显示了我们的U-Net估计的平均视网膜神经纤维层 (RNFL) 厚度与三个研究组中的真实情况之间的相关性。( A ) 在前部缺血性视神经病变 (AION) 中,( B ) 在视神经炎 (ON) 中,( C ) 在正常数据中。
02
NAION组RNFL厚度
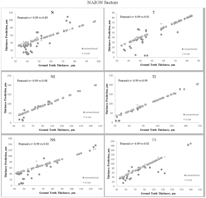
Kruskal–Wallis 检验显示三种测量方法的平均 RNFL 厚度存在显着差异 (P = 0.02)。虽然使用我们的 U-Net 算法的平均 RNFL 厚度与手动分割值(地面实况)(分别为 70.5 ± 19.4 µm 和 69.7 ± 19.3 µm;P > 0.99)没有差异,但 OCT 机器 RNFL 厚度(64.4 ± 21.3 µm) 低于手动分段值 (P = 0.04)。此外,U-Net 计算的 RNFL 厚度与 OCT 机器厚度之间也存在显着差异 (P = 0.009)。手动分割的 RNFL 厚度与 U-Net 平均 RNFL 厚度之间的相关性 (r = 0.99) 强于手动分割的 RNFL 厚度与 OCT 机器 RNFL 厚度之间的相关性 (r = 0.95) (P = 0.02)(图 2)。). 在 U-Net 算法分割和常规 OCT 机器数据中,平均 RNFL 厚度的 MAE 分别为 1.18 ± 0.69 μm 和 6.65 ± 5.37 μm。两个 MAE 数字之间存在显着差异 (P = 0.0001)。具体而言,使用 U-Net 分割的鼻、鼻上和颞上 RNFL 厚度的 MAE 分别为 1.48 ± 1.26 μm、1.64 ± 2.19 μm 和 1.69 ± 1.38 μm。传统 OCT 机相应厚度扇区的 MAE 分别为 6.16 ± 10.02 μm、5.08 ± 10.47 μm 和 6.26 ± 13.16 μm。

图2: 线图显示了前部缺血性视神经病变 (AION) 组中神经网络估计的每个扇区视网膜神经纤维层 (RNFL) 厚度与真实情况之间的相关性。( A ) 鼻区 (N), ( B ) 颞区 (T), ( C ) 鼻下区 (NI), ( D ) 颞下区 (TI), ( E ) 鼻上区 (NS), ( F ) 扇区时间优势 (TS)。
03
ON组RNFL厚度
三种测量方法的平均 RNFL 厚度没有显着差异 (P = 0.66 Kruskal-Wallis)。平均 RNFL 厚度为 76.1 ± 16.2 µm,手动分割,77.1 ± 16 µm 与 75.9 ± 16.6 µm,分别使用 U-net 算法分割和 OCT 机器。U-net 算法分割的平均 RNFL 厚度和传统 OCT 机器数据都与手动分割获得的 RNFL 厚度密切相关,它们之间没有显着差异(分别为 r = 0.99 和 0.99,P = 033)(图 1) . OCT 机器和 U-Net 分割的平均 RNFL 厚度的 MAE 分别为 0.2 ± 1 μm 和 1.2 ± 0.71 μm,两者之间没有显着差异 (P = 0.93)。
本研究调查了在 NAION 眼睛、ON 眼睛和对照中使用深度学习 (U-Net) 在 OCT 上对周围神经纤维层厚度的量化。我们将 RNFL 厚度的手动分割(地面实况)估计与我们的 U-Net 算法和传统 OCT 机器数据进行了比较。首先,我们在测试和验证图像中展示了 U-Net 模型的高性能。我们的模型和验证数据集的手动分割之间的 Dice 系数为 0.90,测试图像为 0.87。其次,U-Net 算法分割的 RNFL 厚度和传统 OCT 机器数据都与控制眼和 ON 眼中手动分割获得的 RNFL 厚度相似。然而,在 NAION 眼中,使用 OCT 机器的平均 RNFL 厚度与手动分割不同(图 3 )). 在这些人看来,我们的 U-Net 算法与手动分割值(ground truth)没有什么不同。

图3: 患有缺血性视神经病变的眼睛的 OCT 图像样本。OCT 机器对视网膜神经纤维层进行错误分割 ( A ) 和人工校正后 ( B )。( C ) 我们的 U-Net 和 (D) 的图像输入是我们的 U-Net 视网膜神经纤维层分割的预测掩码输出,这与地面实况 ( B ) 非常相似。
总的来说,使用 U-Net,我们能够在三组眼睛中分割 RNFL 层。在补偿图像上进行训练和测试时,对照眼、ON 眼和 NAION 眼与手动分割具有良好的相关性。相比之下,传统的 OCT 机器分割在 NAION 眼中容易出错,导致 RNFL 厚度测量不准确。此外,在较低质量的扫描中,我们的 U-Net 分割性能类似于地面实况,因此该算法可以在高质量图像以及容易出现分割错误(例如可能发生的分割错误)的图像中提供稳健的 RNFL 厚度估计在NAION眼里。这种算法可能有助于临床实践评估 NAION 眼和 ON 眼中的 RNFL 厚度。
方法
01
光谱域光学相干断层扫描
使用 Spectralis SD-OCT 获取视盘周围 RNFL 图像,每只研究眼使用两到四张图像。质量低于 10 的图像不包括在内。分割线由 Spectralis SD-OCT 中的常规 OCT 软件划定,包括圆形扫描中的前后 RNFL 边界分别对应于内界膜和内丛状层。记录了由 OCT 仪器描绘的毛细血管周围 RNFL 测量值。眼科医生 (EH) 检查所有 OCT 机器分割是否存在可能的分割错误,对 B 扫描进行手动分割校正,随后来自校正分割的 RNFL 厚度数据被记录为“地面实况”数据。
02
图像处理和深度学习算法
我们开发了一种基于深度学习来估计 RNFL 厚度的算法。第一步,使用预处理方法来降低散斑噪声。之后,实现了基于 U-Net 算法的分割算法来描绘 RNFL 的轮廓。在后处理步骤中,为了消除分割结果中的任何斑点图案,应用了形态学方法。最后,使用一系列图像处理方法和深度学习模型确定 RNFL 厚度。
03
预处理
减少斑点噪声是预处理步骤的主要目标(图 4)。为了最小化这些图像伪影,使用了形态学过滤器(使用 OpenCV 4.5.1 版,内核维度:正方形;大小:3 × 3)。

图4:去噪前(A)和去噪后(B)的图像处理。
04
后处理和平均RNFL厚度估计
实施分割方法后,生成的二进制掩码可能包含间隙和斑点。通过实施基于形态学算法的后处理方法填补了空白。后处理步骤后,RNFL 的平均厚度是通过使用欧几里得距离变换方法测量的。
05
性能指标
我们使用特异性、敏感性和 Dice 系数来评估我们的 U-Net 在测试集上的分割准确性。与相应的手动分割图像相比,特异性用于评估所提出方法的真阴性率,灵敏度用于评估所提出方法的真阳性率。衡量手动和 U-Net 分割之间重叠的 Dice 系数介于 0 和 1 之间,其中 0 表示没有重叠,1 表示完全重叠。
最后,在计算 RNFL 厚度后,报告平均绝对误差 (MAE) 以将 DL 算法 RNFL 结果和 OCT 机器 RNFL 数据与真值进行比较,真值定义为眼科医生确定的 RNFL 平均厚度的最佳可用估计值手动。
06
统计数据
使用 Shapiro–Wilk 检验验证正态性假设。正常数据通过单向方差分析 (ANOVA) 进行分析,当我们不假设数据呈正态分布时,使用 Kruskal-Wallis 检验。Bonferroni 校正用于解释多重比较。数据之间的相关性使用 Pearson 检验进行分析,相关性之间的差异通过 R 中的“cocor”包进行评估(http://www.R-project.org/;由 R Foundation 在公共领域提供)用于统计计算,维也纳,奥地利)。如果P 值小于 0.05 ,则认为差异显着 。
参考
Refer To
1.Fard, M. A. et al. Optic nerve head morphology in nonarteritic anterior ischemic optic neuropathy compared to open-angle glaucoma. Invest. Ophthalmol. Vis. Sci. 57, 4632–4640 (2016).
2.Fard, M. A., Ghahvehchian, H. & Subramanian, P. S. Optical coherence tomography in ischemic optic neuropathy. Ann. Eye Sci. 5, 6 (2020).
3.Yadegari, S., Gholizade, A., Ghahvehchian, H. & AghsaeiFard, M. Effect of phenytoin on retinal ganglion cells in acute isolated optic neuritis. Neurol. Sci. 41, 2477–2483 (2020).
4.Liu, Y. et al. Patient characteristics associated with artifacts in spectralis optical coherence tomography imaging of the retinal nerve fiber layer in glaucoma. Am. J. Ophthalmol. 159, 565–576 (2015).
5.Mansberger, S. L., Menda, S. A., Fortune, B. A., Gardiner, S. K. & Demirel, S. Automated segmentation errors when using optical coherence tomography to measure retinal nerve fiber layer thickness in glaucoma. Am. J. Ophthalmol. 174, 1–8 (2017).
6.Somfai, G. M., Salinas, H. M., Puliafito, C. A. & Fernández, D. C. Evaluation of potential image acquisition pitfalls during optical coherence tomography and their influence on retinal image segmentation. J. Biomed. Opt. 12, 041209 (2007).
7.Park, E. A. et al. Artifact rates for 2D retinal nerve fiber layer thickness versus 3D neuroretinal rim thickness using spectral-domain optical coherence tomography. Trans. Vis. Sci. Tech. 9, 10 (2020).
8.Chen, J. J. & Kardon, R. H. Avoiding clinical misinterpretation and artifacts of optical coherence tomography analysis of the optic nerve, retinal nerve fiber layer, and ganglion cell layer. J. Neuroophthalmol. 36, 417–438 (2016).



更多推荐
所有评论(0)