国科大人工智能学院.深度学习.期末复习知识点笔记
国科大人工智能学院《深度学习》课程的期末复习笔记
目录
图卷积网络
给定几个点的状态,权重矩阵,进行一次图卷积:ReLU(AHW)
几种激活函数的对比
- sigmoid
-
- Sigmoid函数的输出映射在(0,1)之间,单调连续,输出范围有限,优化稳定,可以用作输出层。它在物理意义上最为接近生物神经元。
- 容易产生梯度消失,导致训练出现问题。
- tanh:
-
- 比Sigmoid函数收敛速度更快。
- 相比Sigmoid函数,其输出以0为中心。
- 还是没有改变Sigmoid函数的最大问题——由于饱和性产生的梯度消失。
- ReLU
-
- ReLU在SGD中能够快速收敛。据称,这是因为它线性、非饱和的形式。
- 可以更加简单的实现。
- 有效缓解了梯度消失的问题 。
- 随着训练的进行,可能会出现神经元死亡,权重无法更新的情况。
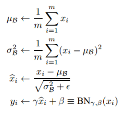
梯度消失与爆炸
在反向传播过程中需要对激活函数进行求导,如果导数大于1,那么随着网络层数的增加梯度更新将会朝着指数爆炸的方式增加这就是梯度爆炸。同样如果导数小于1,那么随着网络层数的增加梯度更新信息会朝着指数衰减的方式减少这就是梯度消失。因此,梯度消失、爆炸,其根本原因在于反向传播训练法则,属于先天不足。
另一方面,如果选择sigmoid激活函数,导数小于1,也容易导致梯度消失。
解决方案:
- 改激活函数:ReLU,leak ReLU
- Batchnorm,批规范化,通过规范化操作将输出信号x规范化到均值为0,方差为1保证网络的稳定性。加速网络收敛速度,提升训练稳定性的效果。

- 残差结构:网络深度增加时,网络准确度出现饱和,甚至出现下降。短路连接。


GRU、LSTM,解决什么问题
- 解决的问题:RNN在许多阶段传播的梯度往往会消失(大部分时间)或爆炸(相对很少)。与短期交互作用相比,RNN难以建模长期依赖关系。另外,RNN并不总是容易训练。LSTM可以解决梯度消失问题!
- LSTM:输入门、输出门、遗忘门

- GRU:复位门、更新门

RBM、DBN与GAN、VAE
- AE:自编码机

过程中降低了特征维度!学习低维表示,希望能无损地重构,重构误差最小
- RBM受限玻尔兹曼机、DBN深度置信网络
RBM可以学习数据内部特征,拟合离散分布,基于能量模型

DBN逐层无监督训练RBM,最后有监督微调

- GAN

![]()
- VAE
VAE 模型是一种包含隐变量的生成模型,它利用神经网络训练得到两个函数(也称为推断网络和生成网络),进而生成输入数据中不包含的数据。基于概率。
VAE 中隐藏层服从高斯分布,AE 中的隐藏层无分布要求。
训练时,AE 训练得到 Encoder 和 Decoder 模型,而 VAE 除了得到这两个模型,还获得了隐藏层的分布模型(即高斯分布的均值与方差)
AE 只能重构输入数据X,而 VAE 可以生成含有输入数据某些特征与参数的新数据。
VAE 模型基本原理简单介绍_smile-yan的博客-CSDN博客_vae模型
相比于传统机器算法,GAN有三方面的优势:
- 首先GAN模型的表现效果更好,生成清晰的样本;
- 第二GAN框架可以训练任何一种生成器网络;
- 第三GAN适用于一个变量的随机发生概率不可计算的情况。

强化学习基本思想、基本要素、应用场景
基本思想:智能体,环境,状态,动作,奖励,最大化期望的奖励,监督学习与强化学习相结合
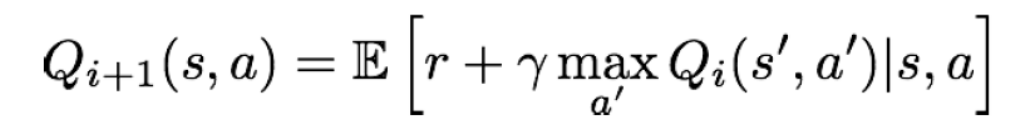
马尔可夫决策过程的定义:
![]()
状态,动作,奖励,转移概率,奖励衰减因子
状态估值函数的贝尔曼最优,贝尔曼方程:

注意力机制
注意力机制就是对输入权重分配的关注,最开始使用到注意力机制是在编码器-解码器(encoder-decoder)中, 注意力机制通过对编码器所有时间步的隐藏状态做加权平均来得到下一层的输入变量。
- soft attention:易于实现:在输入位置上生成分布,重新加权特性并作为输入馈送,使用空间变压器网络关注任意输入位置
- hard attention:依概率选择一个,关注单个输入位置,无法使用梯度下降!需要强化学习!
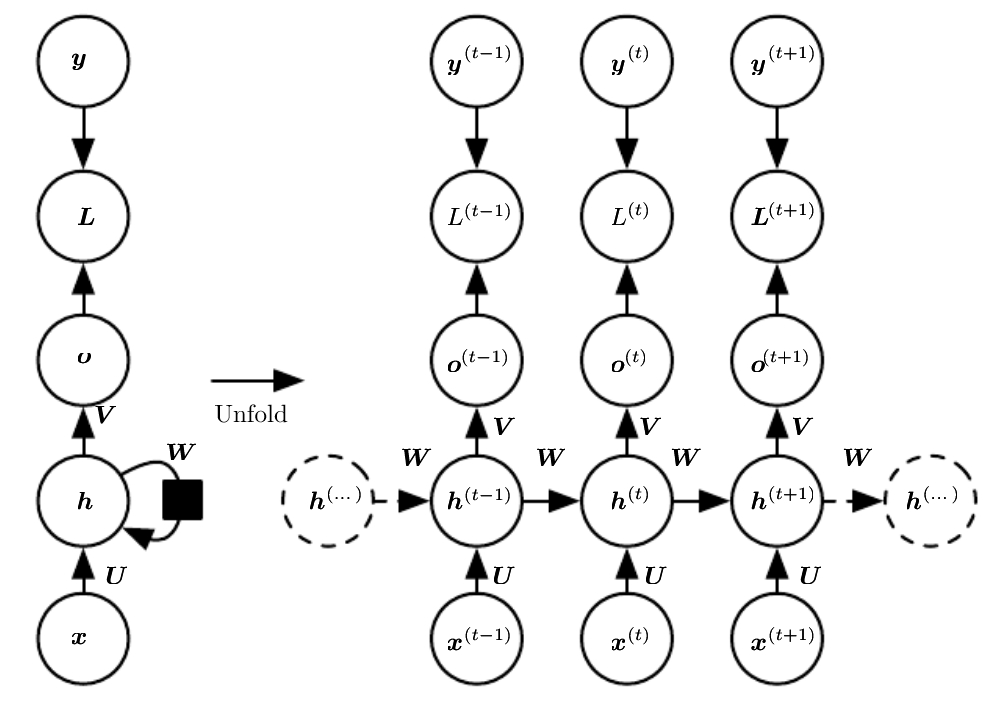
循环神经网络:RNN的结构、优化
![]()

注意三个权重矩阵!U、V、W

反向传播:BPTT
- 损失与梯度都是对所有的t相加!
- U、V、W是共享的!
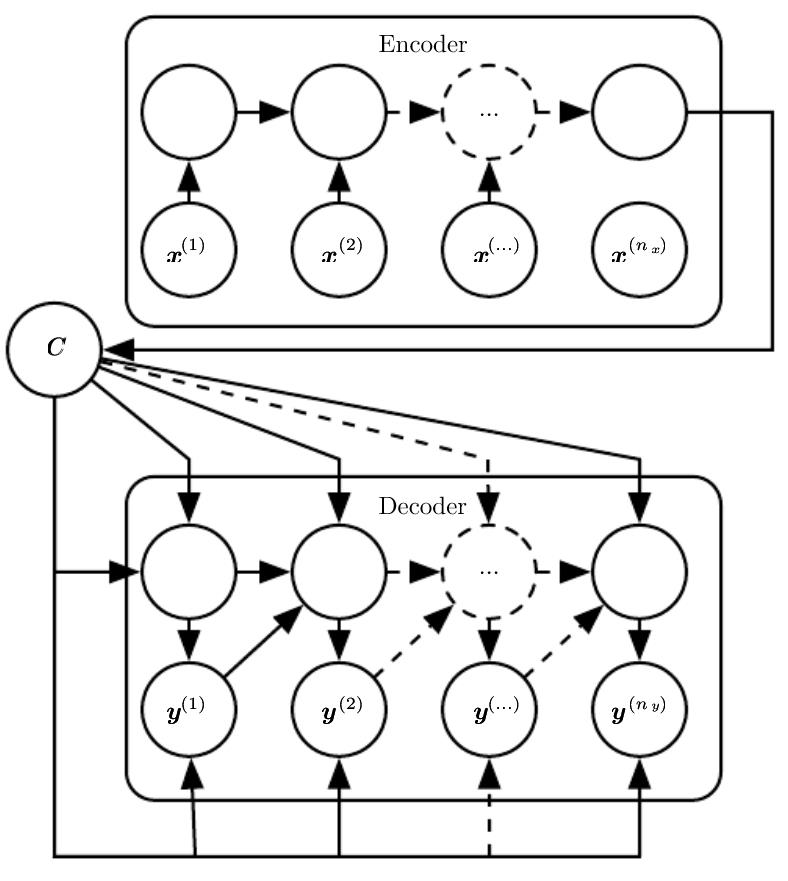
用于机器翻译:

机器学习与深度学习
机器学习的典型方法
监督学习: 从标记的训练数据来推断一个功能的机器学习任务。
无监督学习: 根据类别未知(没有被标记)的训练样本解决模式识别中的各种问题,称之为无监督学习。
强化学习: 用于描述和解决智能体(agent)在与环境的交互过程中通过学习策略以达成回报最大化或实现特定目标的问题。
半监督学习: 半监督学习使用大量的未标记数据,以及同时使用标记数据,来进行模式识别工作。
深度学习相对于机器学习的优势
端到端解决问题, 削减了对每一个问题设计特征提取器的工作,自动地提取特征,能够解决更为复杂的任务。充分利用大数据,准确度的上限更高。但理论不够完备。
更多推荐



所有评论(0)