一个简单地将先验引入深度学习损失函数的例子(机械疲劳损伤预测)
一个简单地将先验引入深度学习损失函数的例子(机械疲劳损伤预测)担任《Mechanical System and Signal Processing》《中国电机工程学报》等期刊审稿专家,擅长领域:信号滤波/降噪,机器学习/深度学习,时间序列预分析/预测,设备故障诊断/缺陷检测/异常检测。
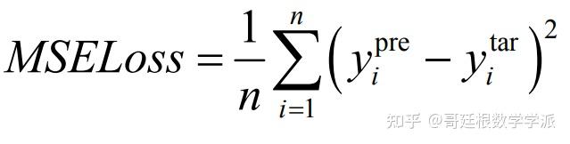
损失函数主要用于模型的训练阶段,每个批次的训练数据发送到模型中后,通过前向传播输出预测值,然后损失函数计算预测值与真实值之间的差,即损失值。在获得损失值后,模型通过反向传播更新各种参数,以减少真实值和预测值之间的损失,使模型生成的预测值接近真实值方向,从而达到学习的目的。标准损失函数用于评估数据驱动模型中输出值和实际值之间的不一致性,常用的MSE损失函数如下:


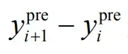
Miner理论认为,材料在交变载荷作用下,都有一定的寿命,应力每循环一次,就会对材料造成微量损伤,这种损伤是不可逆且逐渐积累的。然而,数据模型的性能受到训练数据集数量少和缺乏关于真实世界过程物理信息的限制,预测结果可能违背疲劳损伤不可逆这一物理知识。通过堆叠更多的层和使用更多的训练数据来扩展当前的深度学习技术只能从表面上缓解其中的一些问题。这些所代表的范围非常有限,无法解决深度学习模型更根本的问题,即缺乏与真实物理模型的联系。为了解决这个问题,提出了一种物理引导损失函数作为指导,以实现预测结果与物理知识的一致性。如下所示:

i表示当前样本,n表示样本总数,Γ( A,B) 是一个状态指示符函数。当 A 小于B时,函数输出1,否则输出 0。输出1时表示违反了物理定律,即机械系统的疲劳损伤应是不可逆的,损伤差值

应为非负,且违反程度定义为

输出 0 时表示模型的训练方向符合物理约束。
通过将物理约束编码到网络训练的损失函数中,在方程中构造了复合损失函数,损失函数的第一项强制对从测试中收集的实验数据进行数据拟合,第二项强制神经网络与物理知识保持一致,引入惩罚因子来保持数据拟合和物理约束之间的平衡通常被称为软约束方法。通常,较小的值不能保证物理约束,而较大的值将使解决方案更好地遵守物理约束。然而,值过大可能会使优化问题变得难以收敛。
学术咨询:


担任《Mechanical System and Signal Processing》《中国电机工程学报》等期刊审稿专家,擅长领域:信号滤波/降噪,机器学习/深度学习,时间序列预分析/预测,设备故障诊断/缺陷检测/异常检测。
分割线分割线分割线分割线分割线分割线分割线分割线
MATLAB环境下基于改进K-SVD的一维时间序列信号瞬态特征提取
该程序利用改进K-SVD算法对一维信号(模拟信号,振动信号,声信号,地震信号等)进行瞬态特征提取,代码给出几个例子,分别为模拟信号,轴承故障振动信号,发动机气门正常振动信号,发动机进气门故障振动信号的例子,发动机排气门故障振动信号.。


完整代码通过学术咨询获得。
基于优化Morlet小波的一维信号瞬态特征提取方法(MATLAB R2018A)
该程序测试了模拟信号,地震信号,发动机销子活塞故障振动信号,发动机气门正常振动信号,发动机排气门故障振动信号,结果如下。


完整代码通过学术咨询获得。


更多推荐
所有评论(0)