2026 开源模型第一枪!阿里 Qwen3.5-397B 实测:性能对标 GPT-5.2
针对金融审计、科研报告等领域常见的图文混排 PDF,它可以直接"看图说话",识别出复杂的嵌套表格、流程图,并将其转化为结构化的 JSON 数据或精炼的摘要。如果你还在为找一个既能跑业务、又能处理复杂编程任务、还能省算力的模型发愁,那么阿里通义刚刚发布的 Qwen3.5-397B-A17B,就是那个打破僵局的"工程级"战神。这两年,大模型看起来越来越厉害了,但真到落地的时候,很多团队依然会卡在同一个
这两年,大模型看起来越来越厉害了,但真到落地的时候,很多团队依然会卡在同一个地方:好用的模型闭源且贵,开源的模型在复杂工程任务上总差那么口气。
如果你还在为找一个既能跑业务、又能处理复杂编程任务、还能省算力的模型发愁,那么阿里通义刚刚发布的 Qwen3.5-397B-A17B,就是那个打破僵局的"工程级"战神。
👉 在线推理体验地址:https://ai.atomgit.com/hf_mirrors/Qwen/Qwen3.5-397B-A17B/model-inference

一、破局者登场:Qwen3.5 的核心定位与"开源之光"
作为 Qwen3.5 系列的首个开源旗舰,这款模型的发布标志着开源界正式进入了"超大规模稀疏模型"的新纪元。在过去,开发者往往需要在"高性能的闭源黑盒"与"能力受限的开源模型"之间做二选一。但 Qwen3.5 的出现打破了这种平衡,它通过 Apache 2.0 协议彻底释放了生产力,让企业级用户可以在完全可控的环境下,部署足以对标 GPT-5 级别的算力矩阵。

它不仅是一个纯粹的语言模型,更是原生的多模态大模型。这意味着它在训练之初就将图像、视频与文本进行了深度融合,而非通过简单的"插件式"连接。这种架构上的先天优势,使其在处理复杂的视觉推理、跨模态内容生成时,展现出了极高的语义一致性。对于致力于构建下一代智能 Agent(人工智能代理)的开发者来说,这无疑是目前市面上最理想的底层底座。
二、深度拆解:它是如何实现"既快又强"的?
2.1 混合稀疏专家架构(MoE)的降维打击
在技术底层,Qwen3.5 的总参数量达到了惊人的 3970 亿(397B),但在实际推理过程中,它并不是"全量运转"。通过先进的 Mixture-of-Experts (MoE) 策略,模型会根据输入指令的复杂程度和领域,动态激活约 170 亿(17B)的专家参数。
这种设计精妙地解决了大模型"大而不掉"的难题。你可以把它想象成一个拥有 397 个顶尖专家的智囊团,当你在问一个编程问题时,模型只会唤醒负责逻辑与代码的专家,而让负责文学创作的专家处于休眠状态。这种激活模式,让它在拥有顶尖性能的同时,功耗和延迟却保持在极低水平,实现了真正意义上的"用少打多"。
2.2 混合注意力与 FP8 流水线的效能革命
为了进一步榨干硬件性能,通义团队引入了 Gated Delta Networks 与混合注意力机制。结合最新的 FP8 低精度训练流水线,模型在关键计算层保持 BF16 高精度的同时,大幅压缩了非关键数据的吞吐量。
这种技术组合拳带来的直接结果是:在同等算力条件下,Qwen3.5 的推理速度相比 Qwen3 系列早期版本提升了约 8.6 倍至 19 倍。对于需要处理实时交互、高并发请求的后端业务系统来说,这种速度的飞跃意味着用户体验的质变,也意味着服务器租赁成本的断崖式下跌。
2.3 1M Tokens:重塑长文本与视频的理解边界
此外,该模型在长上下文处理上也表现惊人。它默认支持 262K tokens 的上下文窗口,并在特定模式下可扩展至 1M(百万级)级别。在 2026 年的今天,这已经成为了衡量"旗舰模型"的硬指标。
这意味着你可以一次性向它喂进整部几十万字的法律长卷,或者长达两小时的超清会议录像。它不需要像传统方案那样先做切片、再做向量索引,而是能直接在原始上下文中进行全局关联。让长文档理解、超长代码库重构和复杂视频解析,变得像日常聊天一样简单流畅。
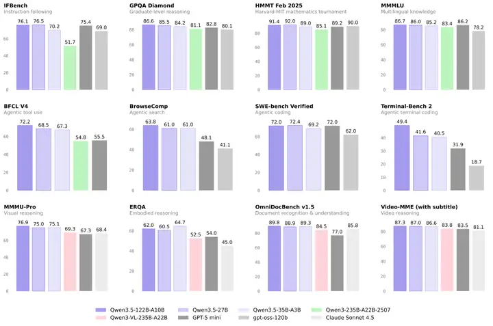
三、性能硬碰硬:开源顶峰对决闭源旗舰
3.1 全面对标 GPT-5.2 与 Gemini 3 Pro
在社区最新的实战评测(如 MMLU、GPQA、LiveCodeBench)中,Qwen3.5 展示了与 GPT-5.2、Claude 4.5 以及 Gemini 3 Pro 掰手腕的硬实力。特别是在数学逻辑推理和编程辅助这两个"最吃性能"的领域,Qwen3.5 的得分几乎与闭源霸主们持平,甚至在中文语境下的理解深度上略胜一筹。
模型还针对全球化业务做了深度优化,支持多达 201 种语言和方言。它的词表从早期的 119 种扩展到了 201 种,不仅能听懂伦敦腔,还能搞定很多小众的垂直方言。这种极广的语言覆盖范围,极大地扩展了中国企业出海业务的支持能力。
3.2 价格屠夫:只要 8 毛钱的性价比奇迹
更让开发者感到震撼的是其极致的成本优势。通过云端平台调用,Qwen3.5 的输入百万 tokens 成本仅需约 0.8 元人民币(约 $0.6/M$)。
这是一个什么概念?我们可以做一个简单的算账:
-
闭源旗舰模型:百万 Token 的综合调用成本通常在百元量级。
-
Qwen3.5:同样的任务,成本仅为前者的 1% 左右。
这种极高的性价比,使得大模型从"昂贵的实验室奢侈品"真正变成了"生产线上随处可见的生产工具"。无论是初创团队还是中大型企业,都可以不再为了高昂的 Token 账单而缩手缩脚,从而能够更大规模地在业务中尝试 AI 化改造。
四、落地实战:从多模态文档到自主 Agent
4.1 复杂文档的"结构化引擎"
在实际落地场景中,Qwen3.5 的多模态能力展现了极强的商业价值。针对金融审计、科研报告等领域常见的图文混排 PDF,它可以直接"看图说话",识别出复杂的嵌套表格、流程图,并将其转化为结构化的 JSON 数据或精炼的摘要。这种能力直接省去了繁琐的 OCR 预处理流程,准确率也远超传统方案。
4.2 视频内容的"交互式转码"
由于其原生支持视频输入,Qwen3.5 可以化身为强大的内容解析器。它可以根据一段长视频的内容,自动提取关键帧,并生成带有时间轴标签的语义网页结构。在在线教育领域,它可以根据老师的讲课视频,自动生成配套的讲义、测试题和交互式导航菜单;在政企会议场景下,它能精准识别发言人身份,并生成包含视觉线索的会议纪要。
4.3 开发者最强的"Agent 底座"
对于后端开发者而言,Qwen3.5 强大的逻辑推理和代码生成能力,是构建自主 AI Agent 的绝佳选择。它不仅能写代码,还能理解复杂的 API 文档,并在 n8n、LangChain 等自动化工作流中,作为核心的大脑节点进行任务分发和异常处理。它可以根据一句简单的口令,自动串联起数据库查询、邮件发送、日报生成等一系列动作,真正实现自动化办公的闭环。

五、技术实测:解码吞吐量的代际飞跃
为了直观展示 Qwen3.5-397B-A17B 在推理效率上的突破,我们对比了其与前代旗舰模型在不同上下文长度下的解码吞吐量表现。测试数据清晰地揭示了 MoE 架构与 FP8 流水线优化带来的协同效应。

5.1 32K 短上下文:8.6 倍的效率红利
在处理常见的 32K Token 上下文任务(如常规文档分析或长对话)时:
-
以 Qwen3-Max 为基准(x1.0)。
-
前代 MoE 模型 Qwen3-235B-A22B 实现了 2.5 倍的提升。
-
Qwen3.5-397B-A17B 则直接将性能推向了 8.6 倍的新高度。
这组数据意味着,在常规生产力场景下,新模型的响应速度已经能够支持更高频率的并发请求。
5.2 256K 长上下文:惊人的 19 倍性能暴涨
当任务涉及超长文档或复杂视频解析(256K Token)时,Qwen3.5 的优势被进一步放大:
-
在超长上下文环境下,基准模型的处理压力倍增。
-
而 Qwen3.5-397B-A17B 展现出了极强的适应性,解码吞吐量直接飙升至基准模型的 19.0 倍。
-
相比之下,Qwen3-235B-A22B 在该维度仅能维持 2.6 倍的增幅。
六、快速体验方式
方式一:即刻在线体验
无需本地部署,也不需要提前配置任何运行环境,打开页面即可直接调用 Qwen3.5-397B-A17B 的强大能力。
👉在线体验地址:https://ai.atomgit.com/hf_mirrors/Qwen/Qwen3.5-397B-A17B/model-inference
方式二:集成推理 API
Qwen3.5-397B-A17B 支持通过推理 API 的形式接入,适合需要将其集成到内容生产流水线、自动化设计工具或实时交互应用中的中大型工程项目。
👉在线体验地址:https://ai.atomgit.com/hf_mirrors/Qwen/Qwen3.5-397B-A17B/model-inference
更多推荐

所有评论(0)