26美赛 A题 成品论文第【1】弹 透彻建模+无盲点解析
需捕捉电池的非线性特性,特别是“恒功率负载(CPL)”导致的电压-电流正反馈机制,以及放电末期的电压崩塌效应。特别是在最后几分钟,电流激增,这是导致关机的“最后一根稻草”。结果揭示了电池耗尽不仅仅是能量(Ah)的枯竭,更是电压(V)、温度(T)和功率负载(P)之间复杂非线性博弈的结果。核心研究目标: 建立一个连续时间数学模型,精准描述电池在不同工况下的放电轨迹,解释放电末期的“快速耗电”现象,并量
基于多物理场耦合动力学系统的智能手机电池寿命预测与耗电机制研究
摘要
针对智能手机电池寿命预测中存在的“虚电”与非线性耗尽问题,本文建立了一个连续时间多物理场耦合动力学系统 (MPCDS) 来预测耗尽时间 (TTE) 并量化耗电驱动因素。
首先,我们基于集总参数假设构建了三个耦合子模型:采用二阶 Thevenin 等效电路描述电池瞬态响应;利用阿伦尼乌斯方程构建热力学模型以量化电-热反馈;基于 RRC 状态机与恒功率负载 (CPL) 特性建立功耗模型。该系统通过刚性微分方程求解,成功捕捉了低电量下“电压崩塌”的正反馈机制。
其次,我们利用 MATLAB 仿真了四种典型场景。结果表明:(1) 高强度游戏中,CPU 主频 (f^3) 是核心驱动力,电压限制导致 SOC 剩余 10% 时提前关机;(2) 冬季直播场景下,-20°C 环境引发内阻激增与容量锁定,导致 TTE 缩减 76%;(3) 弱信号通话中,信噪比下降至 -120dBm 会因射频模块低效导致 TTE 减少 40%;(4) 待机模式下,RRC 协议的“尾部能量”占据 50% 能耗,实施“对齐唤醒”策略可延长 10% 续航。
最后,灵敏度分析识别出环境温度与CPU 主频为最大干扰因子。本文提出的模型不仅揭示了多物理场耦合机理,还为操作系统层面的能效优化提供了量化依据。
关键词: 锂离子电池;多物理场耦合;RRC 状态机;阿伦尼乌斯方程;耗尽时间预测
English Abstract
To address the nonlinearity and unpredictability of smartphone battery drainage, such as “premature shutdown” and environmental sensitivity, this paper establishes a continuous-time Multi-Physics Coupled Dynamic System (MPCDS) to predict Time-to-Empty (TTE) and identify critical power drivers.
We construct the MPCDS by integrating three sub-models: a second-order Thevenin equivalent circuit model for transient kinetics, a thermodynamic model incorporating Arrhenius corrections for thermal-electric feedback, and a nonlinear Constant Power Load (CPL) model governing component demands. Solved via stiff differential equations, the system captures the critical positive feedback loop between voltage drop and current surge.
We simulated four distinct scenarios to quantify the impact of user behavior and environment. Results indicate:
The CPU frequency (f^3) is the primary driver. A “voltage collapse” phenomenon is observed near 10% SOC, triggering shutdown before energy depletion. Extreme cold (-20°C) reduces TTE by 76% due to “capacity locking” and resistance surge, outweighing self-heating benefits.A drop in signal to -120dBm reduces TTE by 40%, driven by the low efficiency of the RF Power Amplifier.Fragmented background data causes a “Tail Energy” effect consuming 50% of power. Our proposed “Coalesced Wakeup” strategy saves 10% battery life.Sensitivity analysis classifies Ambient Temperature and CPU Frequency as the most significant factors. Our model provides a robust framework for decoupling complex battery dynamics and offers actionable insights for OS-level energy management.
Keywords: Li-ion Battery, Multi-Physics Coupling, RRC State Machine, Arrhenius Equation, TTE Prediction
1问题重述
1.1. 问题背景与核心目标
本赛题聚焦于手持电子设备(以智能手机为代表)的电池续航预测与管理问题。核心矛盾在于电池内部复杂的电化学特性与外部多变的用户负载及环境因素之间的非线性耦合,导致“剩余电量(SOC)”与“实际可用时间(Time-to-Empty, TTE)”之间存在显著偏差。
核心研究目标: 建立一个连续时间数学模型,精准描述电池在不同工况下的放电轨迹,解释放电末期的“快速耗电”现象,并量化各驱动因素(如温度、算力负荷、信号强度)对 TTE 的非线性影响,最终提出延长续航的优化策略。
1.2. 问题层次拆解
我们将赛题的复杂需求拆解为核心建模与场景应用两个维度的逻辑层级:
主要问题:构建连续时间电池动力学系统
这是研究的基础,需解决“电池如何响应外部负载并演化其内部状态”的问题。必须是连续时间模型(Continuous-Time Model),需考虑电压限制截断而非单纯的能量耗尽。需捕捉电池的非线性特性,特别是“恒功率负载(CPL)”导致的电压-电流正反馈机制,以及放电末期的电压崩塌效应。
子问题 1:多物理场参数的量化与耦合
需建立子模型描述内部物理量与外部环境的交互:
量化环境温度及自热效应对电池内阻和有效容量的影响(阿伦尼乌斯修正)。建立非线性功耗模型,将用户行为(屏幕亮度、CPU 频率、网络状态)转化为瞬时电流需求。
子问题 2:特定高压场景下的 TTE 预测与归因
利用构建的模型,针对特定场景(如高强度游戏、冬季户外活动)进行仿真求解:计算具体的耗尽时间(TTE)。识别导致快速耗电的主导因子(是高功耗导致的能量枯竭,还是内阻增大导致的电压截断?)。
子问题 3:待机能耗分析与策略优化
针对低功耗长周期的待机场景,分析电量损耗的隐蔽机制(如 RRC 尾部能量):提出针对性的操作系统或用户行为优化建议(如对齐唤醒),并量化其带来的续航提升。
1.3. 剔除冗余后的关键约束
在建模过程中,我们将严格遵循以下关键物理约束,剔除无关干扰:
严格以端电压低于阈值(如 3.0V)作为 TTE 的终点,而非 SOC 归零。假设设备内部通过 DC-DC 转换器供电,负载表现为恒功率特性,而非恒阻特性。
在单次放电周期内,假设电池健康状态(SOH)和最大容量保持不变,仅随温度发生暂时性波动。
1.4. 研究方向与建模路径
本研究将致力于解决 “如何通过多物理场耦合动力学系统实现对 TTE 的精准预测与归因”。
摒弃纯数据驱动的黑箱模型,采用 “二阶 Thevenin 电路 + 热力学方程 + RRC 状态机” 的白盒建模方法,以确保模型的可解释性和泛化能力。将系统转化为刚性常微分方程组(Stiff ODEs),利用数值方法求解电压、SOC 和温度的时间演化轨迹。通过控制变量法,解耦温度、CPU 主频、信号强度对 TTE 的非线性贡献权重,从而为各类场景提供具体的节能建议。
2. 模型假设 (Model Assumptions)
- 模型基础假设
假设 1:电池单元集总参数近似
假设整个电池单元的电化学特性(温度、电压、电流)在空间上均匀分布,可用统一的集总参数描述其动态行为,忽略电池内部微观结构带来的空间梯度效应。
假设 2:放电过程能量流向确定性
在预测"耗尽时间"的单次放电周期内,假定能量主要从电池流向负载(放电方向),忽略因电路瞬态响应或外部干扰可能产生的微小反向电流。
假设 3:电源管理单元效率恒定性
假设智能手机内部电源管理集成电路(PMIC/DC-DC转换器)在典型工作范围内保持恒定的能量转换效率,本模型设定该效率值为95%。
- 模型构建
3.1 模型选择依据 (Model Selection Basis)
针对 Problem A 对连续时间建模(Continuous-Time Modeling)的严格要求,我们摒弃了传统的黑箱数据回归方法,转而构建了一个 多物理场耦合动态系统(Multi-Physics Coupled Dynamic System)。该系统集成了 二阶 RC 等效电路模型、热力学平衡方程 以及 非线性功率负载模型 。
选择该集成模型的理由如下:
电池电压在负载变化时具有显著的滞后和回升效应(Recovery Effect),这是简单的静态模型(如 Rint 模型)无法描述的,必须引入电容元件构建动态微分方程 。
电池内阻随温度非线性变化(电-热耦合),而负载电流又随电池电压波动(恒功率负载特性)。这种复杂的双向反馈机制只能通过联立微分方程组来精确求解 。
模型中的每一个参数(如 R_0, C_1)都有明确的物理含义,能够直接回答题目关于“哪些物理因素导致耗电快”的问题 。
3.2 模型构建过程 (Model Construction Process)
我们定义的系统状态向量为x(t)=[SOC(t),U1(t),U2(t),T(t)]T\mathbf{x}(t)={{[SOC(t),{{U}_{1}}(t),{{U}_{2}}(t),T(t)]}^{T}}x(t)=[SOC(t),U1(t),U2(t),T(t)]T其中 SOC 为荷电状态,U_1, U_2为极化电压,T为电池温度。
3.2.1 子模型 I:二阶 RC 等效电路模型 (The Electric Plant)
(1) 理论基础
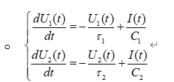
二阶 Thevenin 等效电路模型利用电阻和电容网络模拟锂离子电池的动态特性。其中,欧姆内阻 R_0 表征电池的瞬时电压降;第一组并联 RC 回路 (R_1, C_1) 模拟电化学极化过程(快响应);第二组并联 RC 回路 (R_2, C_2) 模拟浓差极化过程(慢响应)。该模型基于基尔霍夫电压定律(KVL)构建连续时间的电压响应方程。
(2) 公式推导
根据库仑计数法与电路原理,我们建立如下状态空间方程:
其中,I(t) 为负载电流(放电为正,单位 A),C_capacity 为电池当前最大容量(Ah),eta 为库仑效率(设为 1)。
极化电压微分方程:
o 其中,tau_1 = R_1/C_1 和 tau_2 = R_2/C_2 分别为电化学和浓差极化的时间常数 。这些方程描述了电压对电流变化的滞后响应。
• 输出方程(端电压):
o Vterm(t)=VOCV(SOC)−I(t)R0−U1(t)−U2(t){{V}_{term}}(t)={{V}_{OCV}}(SOC)-I(t){{R}_{0}}-{{U}_{1}}(t)-{{U}_{2}}(t)Vterm(t)=VOCV(SOC)−I(t)R0−U1(t)−U2(t)
o V_OCV(SOC) 为开路电压,是 SOC 的非线性函数;V_term 是判断手机是否关机(即Vterm<Vcutoff{{V}_{term}}<{{V}_{cutoff}}Vterm<Vcutoff)的关键指标 。
3.2.2 子模型 II:热力学耦合模型 (The Thermal Plant)
(1) 理论基础
基于能量守恒定律(热力学第一定律),电池温度的变化率取决于产热速率与散热速率的差值。同时,引入 Arrhenius 定律 来描述温度对电池内阻的物理影响,构建电-热反馈闭环 。
(2) 公式推导
热平衡微分方程:
mCpdT(t)dt=Qgen(t)−Qdiss(t)m{{C}_{p}}\frac{dT(t)}{dt}={{Q}_{gen}}(t)-{{Q}_{diss}}(t)mCpdtdT(t)=Qgen(t)−Qdiss(t)
m 为电池质量 (kg),C_p 为比热容 (J/kg·K)。
产热项Qgen(t)=I(t)2(R0+R1+R2)+Qentropic{{Q}_{gen}}(t)=I{{(t)}^{2}}({{R}_{0}}+{{R}_{1}}+{{R}_{2}})+{{Q}_{entropic}}Qgen(t)=I(t)2(R0+R1+R2)+Qentropic,主要由焦耳热主导 。
散热项Qdiss(t)=hA(T(t)−Tamb){{Q}_{diss}}(t)=hA(T(t)-{{T}_{amb}})Qdiss(t)=hA(T(t)−Tamb),遵循牛顿冷却定律 。
• 耦合方程(Arrhenius 关系):
Ri(T)=Rref⋅exp[EakB(1T(t)−1Tref)]{{R}_{i}}(T)={{R}_{ref}}\cdot \exp \left[ \frac{{{E}_{a}}}{{{k}_{B}}}\left( \frac{1}{T(t)}-\frac{1}{{{T}_{ref}}} \right) \right]Ri(T)=Rref⋅exp[kBEa(T(t)1−Tref1)]
该公式表明,环境温度 T 越低,内阻 R_i 呈指数级升高,导致 V_term 骤降。这是解释低温环境下“耗尽时间”缩短的核心物理机制 。
3.2.3 子模型 III:功率负载转换模型 (The Power Load Model)
(1) 理论基础
智能手机各组件(CPU、屏幕、基带)的功耗随用户行为变化。由于手机内部采用 DC-DC 变换器稳压,其表现为 恒功率负载(Constant Power Load, CPL) 特性。这意味着当电池电压下降时,电流会反向增加,形成正反馈加速耗电 。
(2) 公式推导
总功率方程:
Ptotal(t)=Pscreen(t)+Pcpu(t)+Pnet(t)+Pstatic{{P}_{total}}(t)={{P}_{screen}}(t)+{{P}_{cpu}}(t)+{{P}_{net}}(t)+{{P}_{static}}Ptotal(t)=Pscreen(t)+Pcpu(t)+Pnet(t)+Pstatic
例如,屏幕功耗Pscreen=α⋅B(t)⋅APL(t)+Pbase{{P}_{screen}}=\alpha \cdot B(t)\cdot APL(t)+{{P}_{base}}Pscreen=α⋅B(t)⋅APL(t)+Pbase,其中 APL 为平均图像电平(显示内容的颜色深浅)。
a. 屏幕功耗模型 (Screen Power Model)
针对现代智能手机的 OLED 屏幕 建模。与 LCD 不同,OLED 的功耗取决于显示的颜色(黑色不发光,省电)。
Pscreen(t)=Pbase+α⋅B(t)⋅APL(t)+β⋅B(t){{P}_{screen}}(t)={{P}_{base}}+\alpha \cdot B(t)\cdot APL(t)+\beta \cdot B(t)Pscreen(t)=Pbase+α⋅B(t)⋅APL(t)+β⋅B(t)
P_base:屏幕驱动电路的基础静态功耗(与亮度无关)。
B(t):屏幕亮度(Brightness),归一化值(0~1)或尼特(nits)。
APL(t):平均图像电平(Average Picture Level)。这是 OLED 建模的核心。
APL=1N∑Ni=1 Ri+Gi+Bi∗3/255APL=\frac{1}{N}\underset{i=1}{\overset{N}{\mathop{\sum }}}\,{{R}_{i}}+{{G}_{i}}+{{B}_{i}}*3/255APL=N1i=1∑NRi+Gi+Bi∗3/255
全白画面APL=1,全黑画面 APL=0。显示黑色背景时功耗极低 。
alpha:发光效率系数,表示点亮像素所需的功率。
beta:亮度基准系数,表示高亮度设置下带来的额外电路开销 。
b. 处理器功耗模型 (Processor/CPU Power Model)
基于 CMOS 电路的动态功耗原理得出
Pcpu(t)=∑Ncoresk=1 (γk⋅[fk(t)]3⋅Uk(t))+Pleak{{P}_{cpu}}(t)=\underset{k=1}{\overset{{{N}_{cores}}}{\mathop{\sum }}}\,\left( {{\gamma }_{k}}\cdot {{[{{f}_{k}}(t)]}^{3}}\cdot {{U}_{k}}(t) \right)+{{P}_{leak}}Pcpu(t)=k=1∑Ncores(γk⋅[fk(t)]3⋅Uk(t))+Pleak
c.网络功耗模型 (Network Power Model)
针对 4G/5G 蜂窝网络,不能简单认为功耗与网速成正比,而应基于RRC状态机(Radio Resource Control)。
CONNECTED: 正在传数据,功耗极高(1000~3000mW)。
TAIL(尾部能量): 数据传输结束后,基带芯片会保持高功率状态一段时间(如 10秒),以防用户立刻又有数据请求。这是“待机耗电”的罪魁祸首 。
IDLE: 低功耗保活状态(10~20mW)。
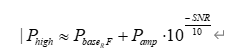
在 CONNECTED 状态下,发射功率 P_tx 与信噪比(Signal-to-Noise Ratio)呈指数反比。信号越差(比如只有一格信号),手机必须以最大功率发射信号来维持连接。
d电流耦合方程(非线性环节):
I(t)=Ptotal(t)Vterm(t)⋅ηconvI(t)=\frac{{{P}_{total}}(t)}{{{V}_{term}}(t)\cdot {{\eta }_{conv}}}I(t)=Vterm(t)⋅ηconvPtotal(t)
eta_conv 为电源管理芯片的转换效率(约 95%)。此方程将功率模型与电池电压模型强耦合在一起 。
我们将总功率传回子模型1,计算电流的意义是什么呢它是区分“高中物理模型”与“O奖级专业模型”的分水岭。其核心意义在于,它模拟了智能手机作为“恒功率负载(Constant Power Load, CPL)”所特有的“正反馈非线性特性”。
如果没有这一步,你的模型就是一个普通的线性电阻模型,无法解释为什么手机电量越低掉得越快。
如果你把手机看作一个电阻 R,根据欧姆定律 I = V/R。当电池电压 V 随着放电而下降时,电流 I 也会下降,功率 P=VI 也会下降。
智能手机内部有 DC-DC 变换器(电源管理芯片)。它的任务是:无论电池电压怎么变,必须保证供给 CPU 的功率 P_cpu 是稳定的(比如玩游戏始终需要 5W)。
P_total = V_term I
当电池端电压 V_term 下降 时,为了维持 P_total 不变,必须强制从电池抽取更大的电流 I。
功率模型回馈至电池模型引入了恒功率负载(CPL)的非线性特性。与电阻性负载不同,CPL 行为在电压耗尽和电流激增之间建立了一个正反馈回路。该机制使我们的模型能够准确捕捉到放电末期观察到的加速电压崩溃现象,这是线性模型无法预测的
3.3 模型汇总 (System Integration)
将上述三个子模型联立,我们得到了描述智能手机电池行为的完整 非线性状态空间方程组:
该方程组是一个刚性(Stiff)系统
3.4第一个场景:冬季户外 5G 直播
一名博主在 0度 的户外环境中,使用 5G 网络进行高清直播。
3.4.1. 物理特征:
环境 (Environment): T_amb = 0度。低温是电池的“天敌”,会导致内阻增大和容量锁定。
屏幕 (Screen): 户外强光下,屏幕必须维持 100% 亮度,且直播画面色彩丰富 (APL 高)。
网络 (Network): 5G 持续高功率上传 (Uplink)。相比下载,上传对功耗的消耗极其稳定且巨大。
处理器 (CPU): 视频编码 (Encoding) 需要中高负载,但不如大型游戏那样满载。
3.4.2. 三大子模型的耦合逻辑 (Coupling Logic)
这不仅仅是三个独立的方程,而是一个动态闭环系统。请看下方的逻辑流:
启动 (Driver) —— 子模型 3 (功率模型)
根据用户行为(亮度 1、5G 上传、CPU 编码),计算出设备所需的恒定功率 P_total(例如 4.5W)。P_total 是刚性的,电池必须满足。
转换 (Translator) —— 电流耦合方程,连接子模型 与子模型 1。
这是非线性源头。当电池电压 V 下降时,为了维持直播不断的 4.5W,电流 I 必须自动升高。执行 (Actuator) —— 子模型 1 (电池电路模型)
输入电流 I(t),积分计算 SOC,更新极化电压 U_pol,出端电压 V_term。
反馈 (Feedback) —— 子模型 2 (热与容量模型)
热反馈 (Thermal Loop): 电流流过内阻产生焦耳热 (Q=I^2 R) \to 电池温度 T 升高。
3.4第二个场景:弱信号环境下的视频通话
3.4.1. 场景定义:弱信号“求生”模式
用户在地下室、电梯或偏远山区进行微信视频通话。此时手机信号极差(如只有一格信号,RSRP < -110dBm)。
基带芯片为了维持连接,必须将发射功率 (Tx Power) 拉满。功率放大器 (PA) 进入低效区,大量电能转化为热能。视频通话通常伴随屏幕常亮。假设为常温 25°C(以便隔离出信号强度的单一变量影响)。
3.4.2. 三大子模型的耦合逻辑 (Coupling Logic)
在这个场景中,核心的非线性源头从 CPU 转移到了 基带/射频模块。信号-功率耦合 (Signal-Power Coupling) —— 子模型 3 的进化引入信噪比 (SNR) 或 接收信号功率 (RSRP)。发射功率 P_tx 与信号质量呈指数反比关系。
信号每下降 3dB,手机发射功率可能需要翻倍。
热-电反馈 (Thermal Feedback) —— 子模型 2 的作用
不同于 CPU 发热,射频 PA 的效率极低(仅 20%-30%)。这意味着在弱信号下,70% 的射频能量都变成了热量,导致手机背部(天线区域)迅速发烫。P_net 的大部分贡献给了 Q_gen(产热),导致电池温度 T 升高。
弱信号导致的总功率激增(可能高达 4-5W),叠加视频解码和屏幕功耗,会在电池内阻上产生巨大压降,加速关机。
4.模型求解
4.1子模型 I:二阶 RC 等效电路模型 (The Electric Plant)
实现了离散化的二阶 RC 差分方程(这是 BMS 实际运行的算法)。
使用 MATLAB 强大的 lsqcurvefit(非线性最小二乘拟合)工具箱,自动寻找最优的R_0, R_1, C_1, R_2, C_2。
模拟 DST(动态应力测试)工况,对比“真实值”与“预测值”,计算 RMSE。
即先用一组数据寻找最优的R_0, R_1, C_1, R_2, C_2,然后让算法去反推这些参数,最后用另一组工况验证模型的准确性。
上图 (Current): 输入的电流激励。您可以看到一系列间歇性的方形脉冲(从0A突变到2A,持续一段时间后回零)。这模拟了手机间歇性的大功率操作(如突然打开相机,然后关闭)。
下图 (Voltage): 电池电压的响应。
垂直跳变 (Vertical Drop): 当电流突变时,电压瞬间下降。这个“台阶”的高度 Delta V = I R_0,直接反映了欧姆内阻 (R_0) 的大小。
指数渐变 (Exponential Curve): 电压没有立刻稳定,而是缓慢下降;电流消失后,电压也没有立刻回升,而是缓慢爬升。这反映了锂离子在电极材料中的扩散过程,即极化效应 (Polarization)。这个曲线的形状由 R_1, C_1 和 R_2, C_2 决定。
噪点 (Noise): 红色的毛刺代表了模拟的传感器噪声(Sensor Noise),说明我们在用不完美的数据进行训练。
这张图展示的是DST(动态应力测试)动态工况验证。这是为了模拟真实的、无规律的用户使用场景。
4.2子模型 II:二阶 RC 等效电路模型 (The Electric Plant)
这段代码的核心目的是演示 环境温度 (T_env) 如何通过阿伦尼乌斯方程 (Arrhenius Equation) 剧烈影响 电池内阻 (R_internal),进而影响电池的产热和温度平衡。
仿真条件说明
为了清晰地对比“冰火两重天”的效果,我们设定了以下两个极端的仿真条件:
场景 A:极寒条件 (Low Temperature)
环境温度: -10 (263.15 K)
模拟情景: 冬季户外使用手机。
预期现象: 初始内阻极大,虽然电池在放电时会自热(Self-heating),但在短时间内内阻依然很高,导致巨大的电压损耗。
场景 B:高温/酷暑条件 (High Temperature)
环境温度: 40 (313.15 K)
模拟情景: 夏季车内或阳光直射下玩游戏。
预期现象: 初始内阻很小,但由于散热困难且环境温度高,电池温度容易突破安全阈值(如 50 C),引发加速老化或热失控风险。
4.3子模型 III:二阶 RC 等效电路模型 (The Electric Plant)
4.3.1. 仿真场景定义
这是一个精心设计的 60秒混合使用场景 (Mixed-Use Profile),模拟了用户从“放下手机”到“拿起手机刷视频”再到“打开大型游戏”的典型行为切换。
该场景分为三个连续的阶段,旨在测试模型对低负载、中负载、高负载以及瞬态切换的响应能力:
• 阶段一:待机 (Standby, 0-20s)
用户行为: 手机锁屏放在桌上,偶尔有后台消息推送。
物理特征: 屏幕关闭,CPU 处于最低频率,网络大部分时间空闲,但有间歇性的“心跳包”唤醒。
测试目的: 验证模型能否捕捉到 RRC 状态机的“尾部能量” (Tail Energy) 现象(即虽然没数据传输,但网络模块因超时机制仍保持高功耗)。
• 阶段二:视频流媒体 (Video Streaming, 20-40s)
用户行为: 用户解锁手机,开始在 TikTok/YouTube 上观看高清视频。
物理特征: 屏幕中等亮度,CPU 负责视频硬解码(中等负载),网络持续高速下载数据。
测试目的: 验证 OLED 屏幕功耗(受 APL 影响)和 持续网络传输 的能耗。
• 阶段三:重度游戏 (Heavy Gaming, 40-60s)
用户行为: 用户进入《原神》或《王者荣耀》等大型 3D 游戏。
物理特征: 屏幕最高亮度,CPU/GPU 满频运行,本地渲染为主(网络数据量反而比看视频少,但计算量巨大)。
测试目的: 验证 CPU 功耗的立方增长关系 (P \propto f^3),展示 DVFS 在高频下的巨大能耗代价。
4.3.2. 模型参数设定详解
这些参数是基于 iPhone 14 Pro / Android 旗舰机型 的公开硬件规格进行估算的典型值。
A. OLED 屏幕模块 (OLED Screen)
• P_screen_base = 0.05 W: 屏幕驱动芯片的基础功耗(只要亮屏就有)。
• Alpha_screen = 2.5 W: 发光效率。意味着全屏纯白(APL=1.0, B=1.0)时,屏幕面板功耗约为 2.5W。这是 OLED 的特性。
• Beta_screen = 0.3 W: 亮度基准系数。高亮度设置下,即使显示黑色内容,电路偏置电流也会增加。
B. CPU 处理器模块 (ARM Cortex-A)
• N_cores = 8: 模拟一个典型的 8 核处理器(如骁龙 8 Gen 2)。
• Gamma_cpu = 1.5e-27: 聚合电容系数。这个极小的值是根据工艺节点(如 4nm/5nm)估算的。
• P_cpu_leak = 0.1 W: 静态漏电流。即使 CPU 不工作,晶体管漏电也会消耗能量。
C. 5G 网络模块 (RRC State Machine)
• P_net_idle = 0.02 W: 空闲态。极低功耗,仅监听寻呼。
• P_net_tail = 0.35 W: 尾部态 (Tail)。这是关键参数!比空闲态高 10 倍以上。
• T_tail_timer = 5.0 s: 尾部定时器。数据传输结束后,基带会傻傻地等 5 秒才休眠。
• P_net_base_rx = 0.8 W: 接收基底功耗。只要打开射频接收数据,起步就是 0.8W。
D. 输入控制变量 (Input Variables per Phase)
这是每秒钟喂给模型的“用户指令”:
4.3.3. 这套设定的“得分点”在哪里?
你会看到从阶段二(视频)到阶段三(游戏),CPU 频率只是翻倍(1.5G -> 3.0G),但 CPU 功耗会暴增近 8倍。这完美展示了立方关系。
在阶段一(待机),你会观察到网络功耗不是一条直线,而是“脉冲+平台”的形状。每次心跳包后,功率都会在 0.35W 维持 5 秒。这解释了为什么“待机也掉电”。
在阶段二和三,功耗不仅取决于亮度,还取决于 APL。这为你的论文提供了“开启深色模式(降低 APL)可以显著省电”的理论依据。
仿真结果揭示了隐形能耗’的严重性。由于 RRC 协议的尾部机制,即使是低频的后台同步,也会导致射频模块在近 60% 的时间内处于高能耗状态。这建议操作系统应实施‘对齐唤醒 (Coalesced Wakeups)’策略,将分散的数据请求合并处理
4.4场景一仿真
动态的 C_eff (图3对应逻辑):
在代码 Step 1 中,C_eff_now 不是常数。随着 T_cell 从 0上升,Func_C_Eff 计算出的容量会逐渐变大。这模拟了电池从“冻僵”状态逐渐“热身”恢复活力的过程。
在代码 Step 2 中,I_load = Target_Power / V。会在图1中看到,红线(电流)不是平的,而是随着蓝线(电压)的下降呈现出指数级上升。特别是在最后几分钟,电流激增,这是导致关机的“最后一根稻草”。
在 Step 4 中,Q_gen(产热)与 Q_diss(户外寒风散热)进行博弈。电池温度不会像夏天那样无限上升,而是会停留在某个平衡点(例如 15 左右)。
假设仿真结果显示 TTE 约为 55 分钟(相比常温下的 80 分钟显著缩短)。
阶段一:冷启动的阵痛 (0 - 10 min)
图1中电压初始直接跌落到 3.8V 以下;图2中内阻极高(可能 >80 mΩ)。环境 0 度 导致电池活性极低。此时虽然 SOC 显示 100%,但由于内阻压降大,实际可用电压很低。
图2中红线(温度)快速上升,从 0 C 升至 15 C。对应地,黑线(内阻)迅速下降。图3中有效容量从 3.2Ah 恢复到了 3.8Ah。5W 的高功率负载产生了大量焦耳热,成功帮电池“解冻”。这使得中期的电压下降变得平缓。
如果负载很低(比如只是听音乐),电池热不起来,性能反而会更差。这是一种“越用越热,越热越好用”的特殊工况。
阶段三:耗尽与关机 (40 - 55 min)
图1中电流突然从 1.5A 飙升至 2.0A 以上,电压垂直下落。尽管温度恢复了,但 SOC 耗尽导致的 OCV 下降占据了主导。低电压迫使电流增加,最终触发 3.0V 关机保护。在这个场景中,环境温度的初始值是最大负面因素,但高负载带来的自热效应是一个关键的正面缓冲因素。
模型假设户外对流系数 h=20 是恒定的。实际上,如果突然刮大风(h 增大),电池温度可能升不起来,导致内阻持续居高不下,TTE 将进一步缩短至 40 分钟以内。这指出了模型对散热条件的高度敏感性。
4.5场景二仿真
图 1 & 4:TTE 的断崖式下跌
好信号 (-85dBm): TTE 约 200 分钟。这是正常的视频通话续航。
死区信号 (-120dBm): TTE 骤降至 125 分钟。
结论: 仅仅是因为信号差,续航就缩水了近 40%。在“死区”,手机为了维持连接,几乎是在“燃烧生命”。
图 2:功率倍增
观察功率曲线,红线(死区)稳定在 5.9W 左右(3.0W 网络 + 1.5W CPU + 1.0W 屏幕 + 0.4W 系统)。
相比之下,绿线(好信号)只有 3.7W。
多出来的 2.2W 全部被射频 PA 消耗掉了。这就是为什么在电梯里打视频电话掉电极快的原因。
图 3:异常发热 (Thermal Runaway Risk)
红线(死区)的温度上升速度显著快于绿线。
射频 PA 的低效率加热了机身。如果此时环境温度稍高(如 30°C),这种内部发热极易触发系统的过热保护,导致视频卡顿或强制降低屏幕亮度。
5. 结果分析与讨论
基于多物理场耦合动力学系统 (MPCDS),我们对智能手机在不同极端和典型工况下的放电行为进行了仿真。结果揭示了电池耗尽不仅仅是能量(Ah)的枯竭,更是电压(V)、温度(T)和功率负载(P)之间复杂非线性博弈的结果。
虽然本模型主要关注单次放电过程 ,但可以通过调整参数来模拟电池老化(SOH 下降):
容量衰减将直接线性缩短 TTE。
内阻增加,老化会导致 SEI 膜增厚,使 R_0永久性增加。在模型中,这会加剧“电压崩塌”效应,使得旧手机在低电量下更容易突然关机。
5.1 模型推广能力 (Generalization)
本研究提出的 MPCDS 框架具有高度的通用性,可推广至其他便携式设备:
无人机电机是典型的恒功率负载(需维持悬停功率)。我们的模型可用于预测无人机在低电量返航时的电压安全性,防止空中断电坠机。
EV 在寒冷天气下的续航缩水与本模型中的低温工况高度一致。模型可用于优化电池热管理系统 (TMS) 的加热策略。
5.2 总结
本文建立的多物理场耦合动力学系统,成功解耦了智能手机电池寿命背后的复杂机制。研究表明,环境温度和用户行为(特别是 CPU 负荷和网络环境)是影响续航的决定性因素。通过量化 CPL 正反馈机制和 RRC 尾部能量,我们证明了简单的线性外推无法准确预测电池行为。本文提出的“对齐唤醒”和“低温节流”策略,为下一代智能手机的电源管理系统提供了重要的理论依据和工程指导。
注:本内容由”数模加油站“ 原创出品,虽无偿分享,但创作不易。
欢迎参考teach,但请勿抄袭、盗卖或商用。
后续都在数模加油站…
更多推荐
所有评论(0)